2021年江西作为第四批加入高考综合改革的省份,与传统高考相比有巨大的变化。首先就是取消了文理分科,采用“3+1+2”科目考试模式;其次考试成绩也由之前的直接将卷面成绩纳入总分形式,变成了等级赋分;录取方式也变成了“院校+专业组”模式。下面我就为大家讲讲选科考试成绩是如何进行赋分:

一、新高考选科怎么赋分?
需要进行赋分的原因:主要是因为学生之间的选科不同,各科出题的难度不同,因此各科原始分不具有可比性,不能直接纳入高考成绩,为了公平、公正所以需要进行等级赋分。
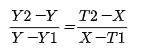
总体原则:按照“原始成绩→百分比例→等级→转化成绩”将原始分转换为等级赋分。
1.利用等级赋分转换公式进行计算,四舍五入的取整规则。

Y1:某区间内所有考生原始成绩区间的下限
Y2:某区间内所有考生原始成绩区间的上限
T1:表示相应等级的赋分区间的下限
T2:表示相应等级的赋分区间的上限
X:考生转换后的等级成绩
2.各等级比例赋分区间如下:

3.利用上式公式进行举例:
例如:甲同学地理考了75分,那么他在赋分区间内位于B等级,假设将本次考试分数在82~61范围划为原始区间,那么可以根据上式公式进行转换:

解出X≈80,即该考生最终成绩为80分。
4.结论:利用等级赋分方案,不仅能解决考生再选科目之间的分数不等值、分数不能直接加入高考总分的问题,还可以保证学生每科成绩的排名顺序不变。有利于高校对人才的选拔。

二、四门选科哪科赋分最高?
在等级赋分制度中,考试分数决定排名位次,排名位次决定等级区间,等级区间决定最终分数。
也就是说,如果这科有3000人参考,那么前450名可拿A等级;如果是300人参考,那么前45名可拿A等级,考生基数越大,竞争也就越大,赋分也就越公平,你的分数在考生中的相对位置才是决定你最终分值的关键。
而在这四科当中以生物和地理所选人数最多,组合后选专业范围最广,所以赋分会比另外两科较好一些。
每科在转换时,等级赋分均以30分作为赋分起点,满分为100分。

微信扫码关注公众号
获取更多考试热门资料