首页
院校信息
专业大全
分数线
填报志愿
排行榜
学历提升
高考资讯
学习方法
高考问答
学分高考
高考
八省联考成绩对照:湖南2020高考一分一段表
发布时间: 2022-03-02 16:47:57
2021年湖南八省联考成绩已经公布
,具体内容如下:
1、
从4月14日起
,考生可登录湖南省普通高校招生考试考生综合信息平台(
https://ks.hneao.cn
)或
“潇湘高考“APP
查询本人2021年适应性考试成绩及总分(含模拟位次,模拟位次未考虑优惠加分)。本次适应性考试成绩与2021年高考无关。已被高职单招录取考生的成绩信息
只公布各科考试成绩及总分
。
2、
模拟志愿填报时间为4月15日-18日
,此次模拟计划不是今年正式招生计划,与正式填报时没有可比性。考生(不含职高对口考生)可根据个人情况,按照选科要求,选择相应院校专业组(或院校)进行填报。
3、模拟志愿填报是让考生尽早熟悉新高考志愿填报规则,了解志愿填报流程,掌握志愿填报系统的操作方法。模拟填报志愿不作为2021年高考录取投档的依据。
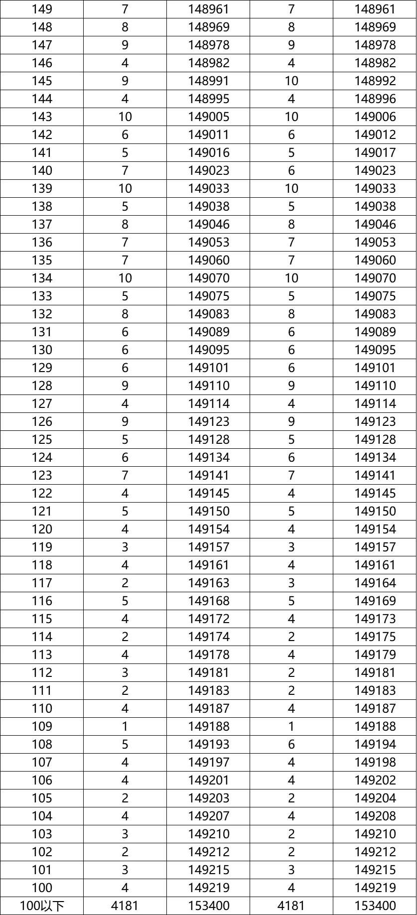
湖南2020高考文史类一分一段表
湖南2020高考理工类一分一段表
温馨提示:
本文【
八省联考成绩对照:湖南2020高考一分一段表
】由作者
教培参考
提供。该文观点仅代表作者本人,
学分高考
系信息发布平台,仅提供信息存储空间服务,若存在侵权问题,请及时联系管理员或作者进行删除。
上一篇:
2021年高考成绩查询入口网址大全_高考分数什么时候出?
下一篇:
八省联考成绩对照:福建2020高考一分一段表
相关阅读
2024广西新高考多少分能进江苏城
2024-08-12
2024黑龙江高考报名时间和截止时
2024-08-12
2024湖北高考多少分可以上天津农
2024-08-12
2024贵州新高考多少分能上保险职
2024-08-12
无锡工艺职业技术学院2024录取分
2024-08-12
2024甘肃新高考多少分能上惠州学
2024-08-12
2024四川高考多少分可以进黑龙江
2024-08-12
2024广东高考多少分能进广东江门
2024-08-11
2024黑龙江新高考多少分可以上北
2024-08-11
2024四川高考多少分能上新乡学院
2024-08-11
2024四川高考多少分可以上徐州工
2024-08-11
福建幼儿师范高等专科学校值得上
2024-08-11
2024福建高考多少分可以上南京审
2024-08-11
2024海南高考多少分可以上南京师
2024-08-11
教培参考
教育培训行业知识型媒体
相关学历提升
哪所临床医学专业学校好
学前教育专业学费多少钱
山西大学商务学院艺术类录取分数
考研国家线是如何计算的?
华中科技大学计算机考研分数线20
西安财经大学mpacc初试近几年分
复旦大学金融系在湖南录取分数线
江苏理工大学考研通信工程分数线
389可以上甘肃卫生职业学院吗
2007年南京大学河北录取分数线
教育资讯
1
县域普通高中振兴有哪些重点举措
2
教育部等六部门联合印发《县域普
3
广西2025年高考录取工作结束 顺
4
西藏征集志愿第10号公告
5
黑龙江2025年高考录取工作结束
6
6月7日,2025年全国高考正式拉开
7
倒计时96天!2025年全国高考统考
8
2025年陕西省高考综合改革适应性
9
湖南2025年高考报名将于2024年10
10
2024年全国各省高考人数统计一览
互动交流
微信扫码关注公众号
获取更多考试热门资料
关于我们
联系方式
助学计划
免责声明
手机版
我们采用的作品包括内容和图片部分来源于网络用户投稿,我们不确定投稿用户享有完全著作权,根据《信息网络传播权保护条例》,如果侵犯了您的权利,请联系我站将及时删除。
内容侵权、违法和不良信息举报
Copyright @ 2024 学分高考 All Rights Reserved 版权所有.
湘ICP备17021685号