
浦东新区








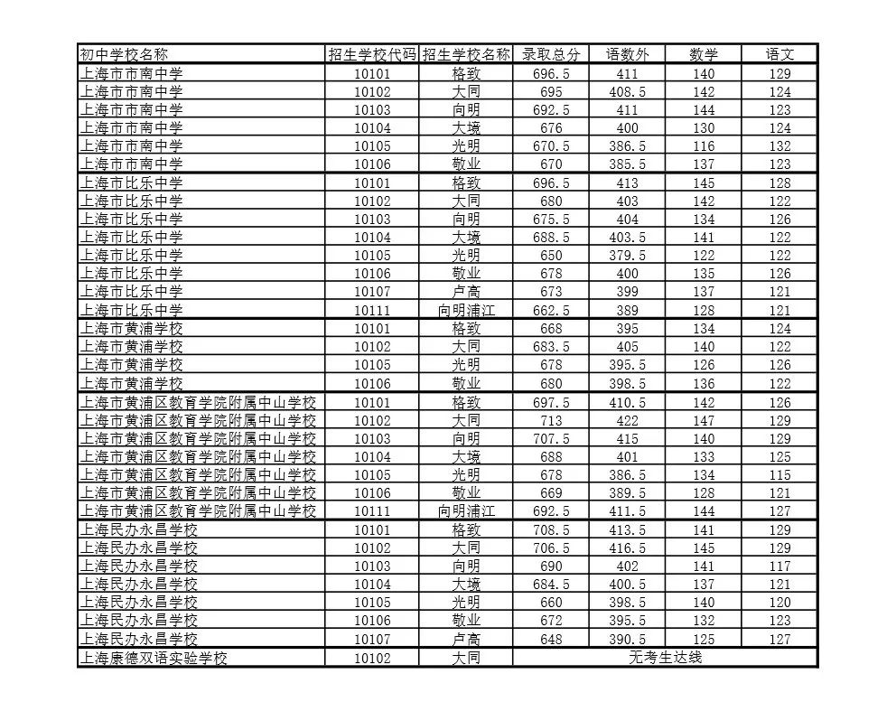
黄浦区




静安区




徐汇区





长宁区



普陀区



虹口区




杨浦区
(2021年杨浦区零志愿录取分数线)


截至发稿时,杨浦区名额分配最低投档分数线暂未在官网公布。
宝山区
(2021年宝山区“零志愿”投档分数线)

(2021年行知中学名额分配投档分数线)

(2021年吴淞中学名额分配投档分数线)

(2021年上大附中名额分配投档分数线)

闵行区
2021年上海市中等学校高中阶段招生(闵行区)零志愿投档分数线

2021年上海市中等学校高中阶段招生(闵行区)名额分配投档分数线

嘉定区


金山区



松江区


2021年松江区中招"名额分配"最低投档分数线



青浦区





奉贤区




崇明区
2021年上海市中等学校高中阶段招生(崇明区)零志愿投档分数线


2021年上海市中等学校高中阶段招生(崇明区)名额分配投档分数线



微信扫码关注公众号
获取更多考试热门资料